LC振蕩電路優缺點:
LC振蕩電路的優點是振蕩頻率較高,可以達到100MHz以上,缺點是頻率穩定性不高,最好的LC振蕩電路,其頻率穩定度Δf/f也只能達到10-5,為此,討論石英晶體振蕩電路。
由石英晶體組成的正弦波振蕩電路,頻率穩定度可以達到10-6~10-8,一些產品甚至高達10-10~10-11,與LC振蕩電路有很大的差異。
一、石英晶體
1、石英晶體結構

2、石英晶體的頻率特性
晶體有兩個諧振頻率點,fs和fp,前者稱為串聯諧振頻率,后者稱為并聯諧振頻率



特點:
1、在串聯和并聯諧振頻率之間,晶體表現為感性。
2、這一區域很窄。
二、晶體振蕩電路
1、并聯型石英晶體振蕩電路
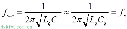
等效于電感的晶體BC和電容C1、C2組成LC并聯諧振電路,這一諧振電路即為振蕩電路的選頻環節
C表示C1、C2和Cq串聯的總電容

由此求得并聯諧振頻率為


(2)串聯型石英晶體振蕩電路
電路結構:
VT1、VT2組成兩級放大電路,第一級是共基極放大電路,第二級是共集電極放大電路,反饋支路由電阻Rf和石英晶體BC組成。
工作原理:
反饋信號的大小與頻率有關,頻率等于晶體串聯諧振頻率fs時,晶體交流短路,正反饋信號很大,偏離這一頻率時,晶體有很高的電抗而使反饋電壓趨于零,因此達到穩定狀態之后,振蕩電路輸出頻率為fs的正弦波信號


返回頂部
刷新頁面
下到頁底